0
Skip to Content
About us
Chief & Council
Meet the Team
Events
News
Calendar & Events
Programs and Services
Post Secondary Education Funding
Natural Resources
Governance
Housing
Photos
CCP & TSP & Water Law
By-Laws
BCR
KBDC
Contact Us
Open Menu
Close Menu
About us
Chief & Council
Meet the Team
Events
News
Calendar & Events
Programs and Services
Post Secondary Education Funding
Natural Resources
Governance
Housing
Photos
CCP & TSP & Water Law
By-Laws
BCR
KBDC
Contact Us
Open Menu
Close Menu
Folder:
About us
Back
Chief & Council
Meet the Team
Folder:
Events
Back
News
Calendar & Events
Folder:
Programs and Services
Back
Post Secondary Education Funding
Natural Resources
Governance
Housing
Photos
CCP & TSP & Water Law
By-Laws
BCR
KBDC
Contact Us
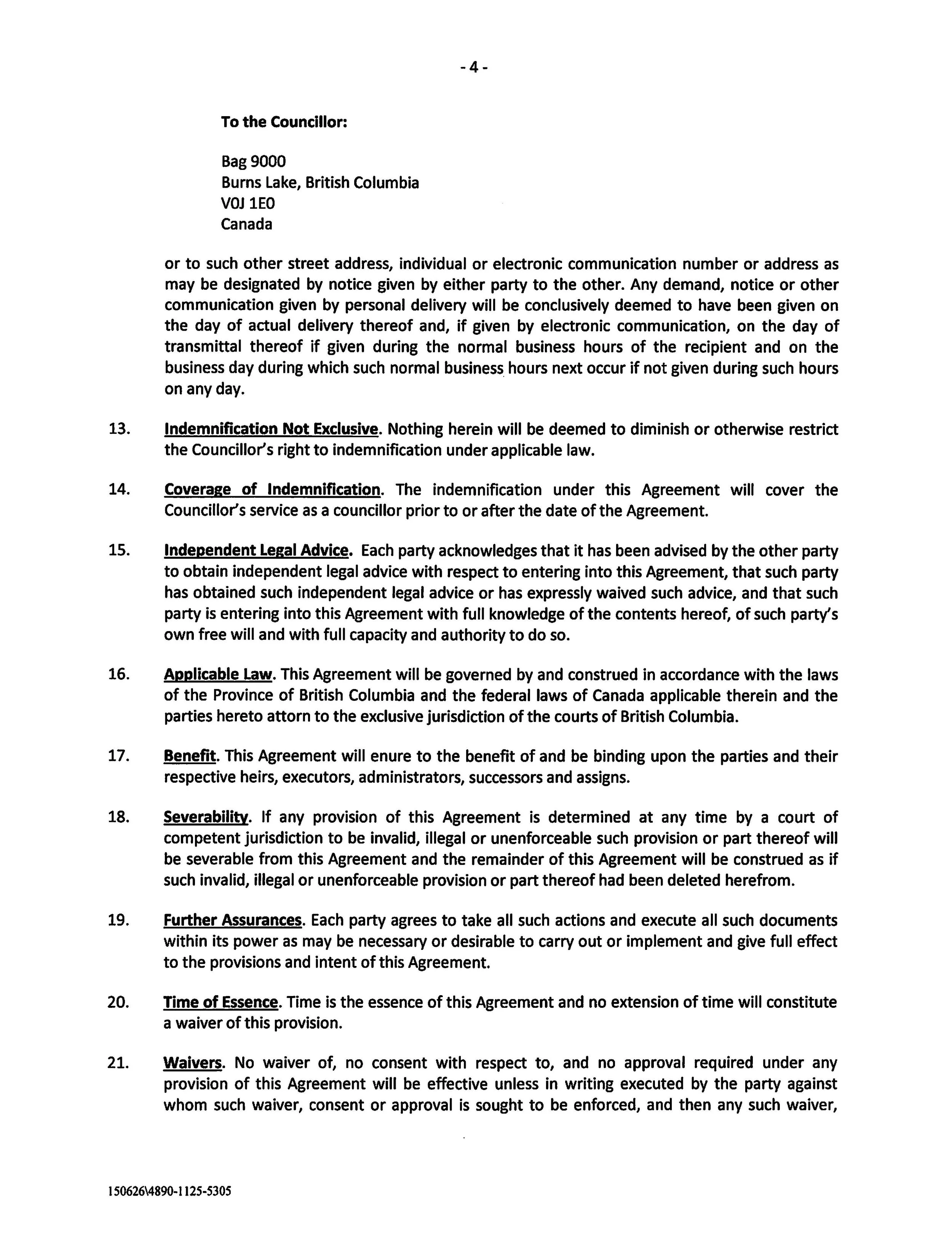
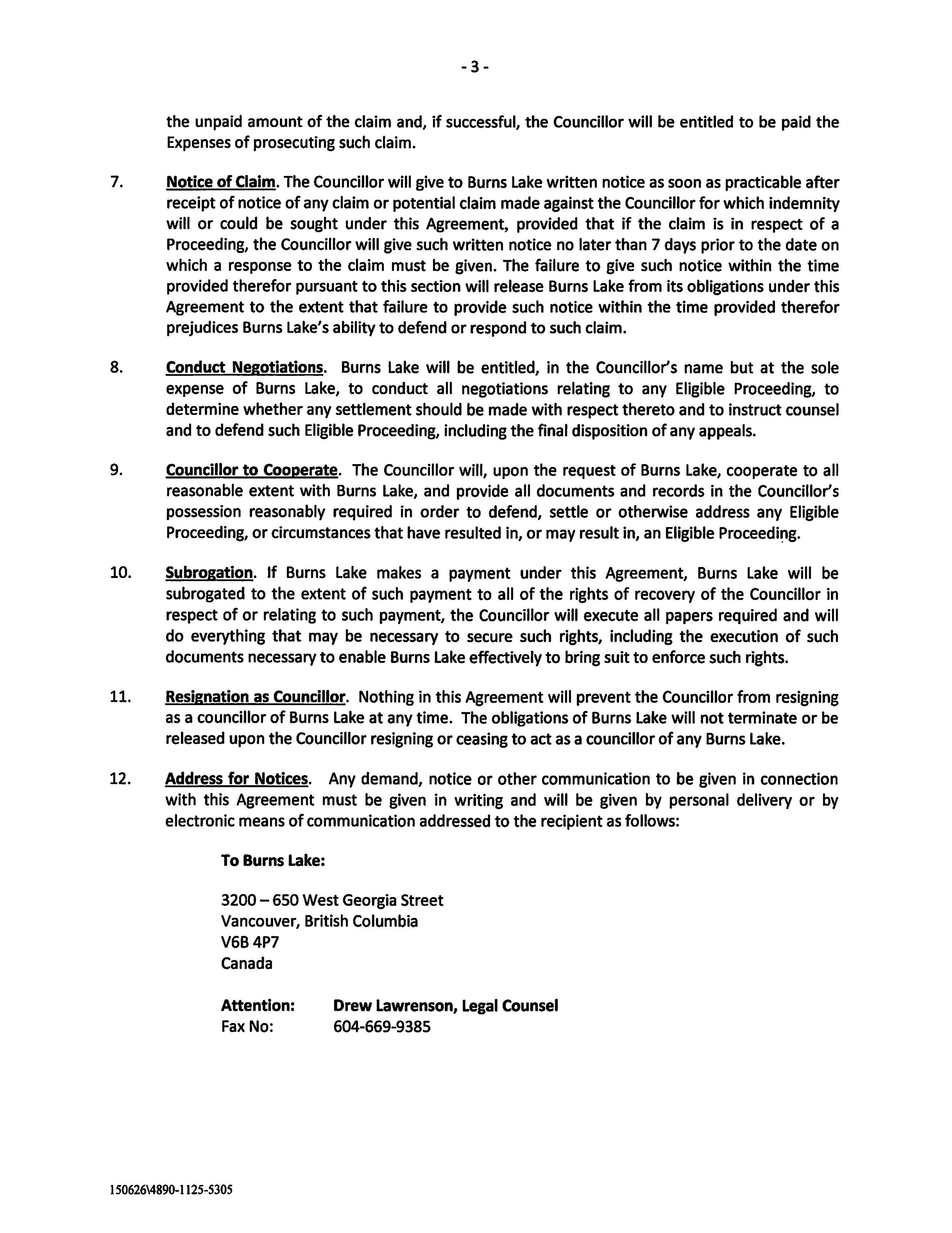
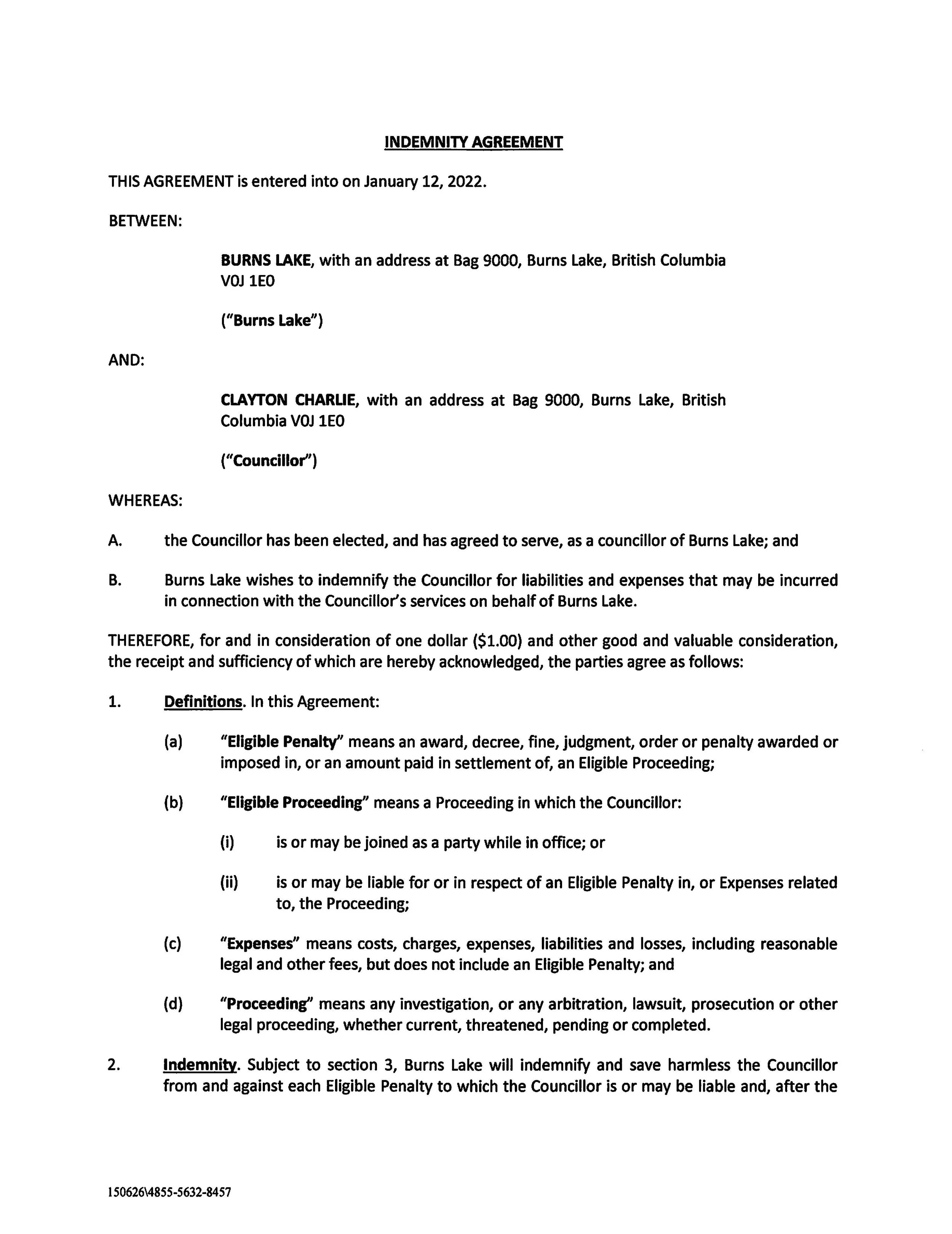
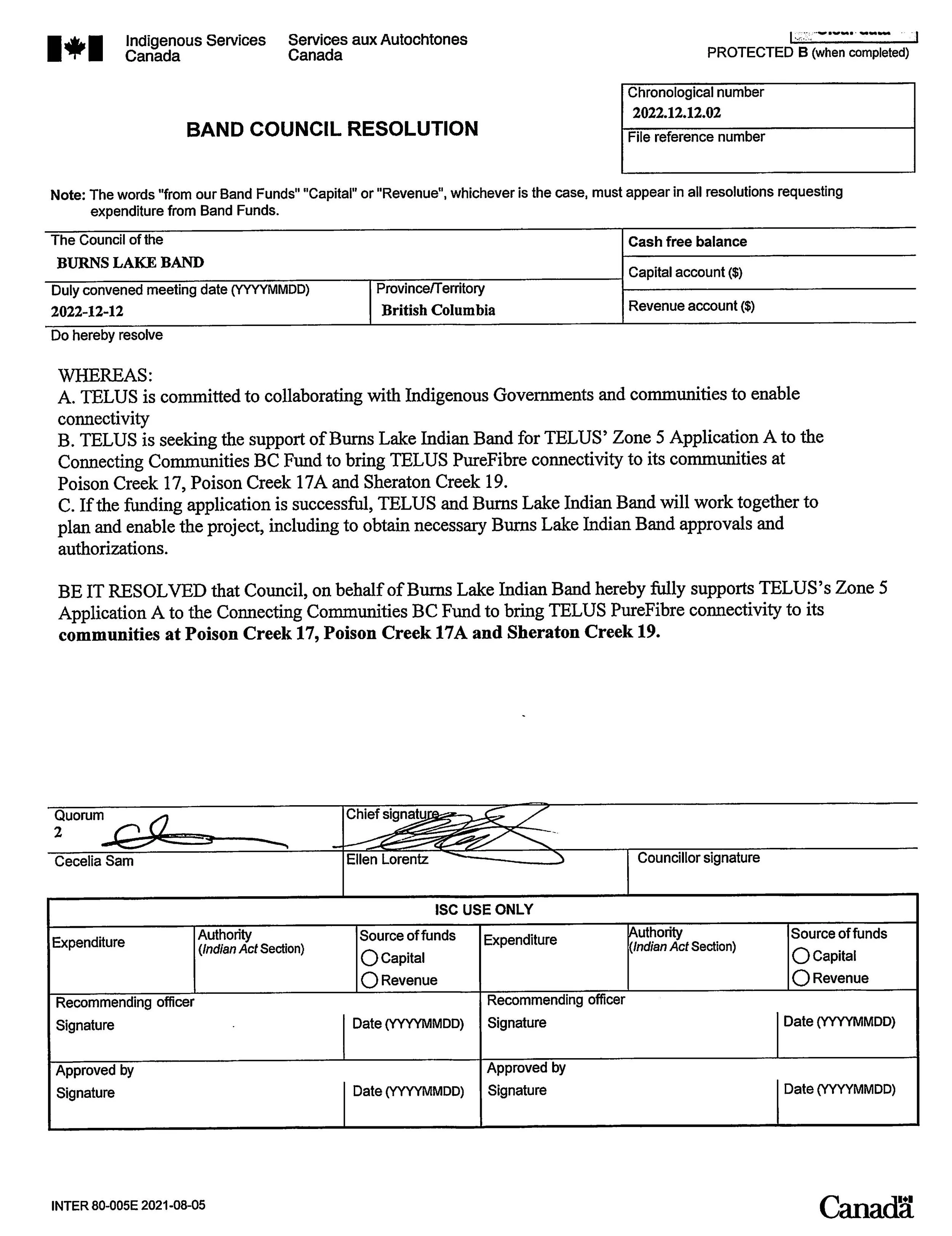
BCR 2022